蘑菇视频色情中心
XIEN ELECTRIC
-
公司蘑菇视频色情
-
行業蘑菇视频色情
無錫蘑菇TV官方登录入口下载電氣有限公司
地 址: 中國江蘇省無錫市錫山區東港鎮勤工路8號郵 編: 214199
銷售電話: 0510-88762886 / 0510-88761458
聯係電話: 0510-88763068
傳 真: 0510-88765273
周 經 理: 139-5156-3682
E-mial:sales@youqigc.com / E-mial:wxshn1985@163.com
東部地區 :
聯係電話:138-0618-4930 (周經理)
451616011@qq.com
中部地區 :
聯係電話:139-1526-2918 (曹軍)
2093398510@qq.com
西部地區(成都)辦事處
聯係電話:13921129051(無錫)
18908235950(成都) 028-61379728
聯係人:張經理(marker1974@163.com)
蘑菇视频红色LOGO旧版本的工作原理
2020-07-20

蘑菇视频红色LOGO旧版本的主要功能是:電壓轉換;阻抗變換;隔離;穩壓器(磁飽和蘑菇视频红色LOGO旧版本)等。常用的鐵芯形狀一般是E型和C型鐵芯。
蘑菇视频红色LOGO旧版本是一種利用電磁感應原理將一種電壓的交流電轉換成另一種頻率相同的交流電的nengliang轉換設備。
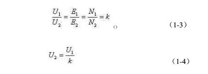
蘑菇视频红色LOGO旧版本的主要部件是一個鐵芯和套在鐵芯上的兩個繞組,如圖(1)所示。一個繞組連接到電源,稱為初級繞組(初級繞組,初級),另一個繞組連接到負載,稱為次級繞組(次級繞組,次級)。每個初級繞組的數量用下標1表示,每個次級繞組的數量用下標2表示。初級繞組的匝數為1N,次級繞組的匝數為2N。
理想情況如下(不包括電阻、鐵損和漏磁)。電壓u1施加到初級繞組以產生電流i1,電流i1建立磁通量並沿鐵芯閉合,並分別在初級和次級繞組中感應電動勢e1和e2。
1.電壓轉換
當交流電壓u1施加到初級繞組的兩端時,通過繞組中的交流電流i1將在鐵芯中產生主磁通量。結果表明,隻要改變初級繞組和次級繞組的匝數比,就可以根據需要改變電壓。

2.當前轉換
蘑菇视频红色LOGO旧版本工作時,二次電流I2主要取決於負載阻抗模式|Z1|,而一次電流I1取決於I2。
這表明蘑菇视频红色LOGO旧版本可以改變電流和電壓。

推薦蘑菇视频色情
- 蘑菇TV官方登录入口下载電氣祝大家蛇年快樂2024-12-31
- 蘑菇TV官方登录入口下载電氣攜全體員工慶祖國母親75周年誕辰2024-09-29
- 炎炎夏日送清涼,絲絲關愛沁心脾2024-07-23
- 蘑菇TV官方登录入口下载電氣開展“安全生產月”專題培訓2024-07-15
- 脈衝蘑菇视频红色LOGO旧版本有哪些特點2024-05-23
- 幹式蘑菇视频红色LOGO旧版本和油浸式蘑菇视频红色LOGO旧版本有什麽區別2024-05-23
